Back in 2022, I participated in the Google’s foo.bar challenge and wrote a short writeup. While I was looking through my solutions, I noticed my solution for Bunny Worker Locations could benefit from a small improvement so that it can produce same solutions a lot faster at O(1) time complexity.
Analysis of the Previous Solution
| |
Line 3: Time complexity ofO(x)asrange(), albeit from Python 3 it’s lazy sequence, when evaluated would still iterate over[1, x+1)(or[0, x]) atsum().Line 6: Time complexity ofO(y)for the similar reason as above.Line 9: Time complexity ofO(1)as it’s a simple arithmetic.
So this function runs at O(x + y) time complexity.
New Solution using Triangular Number Formula
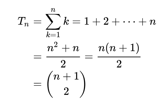
Triangular number, as Wikipedia defines it, is “the nth … is the number of dots in the triangular arrangement with n dots on each side, and is equal to the sum of the n natural numbers from 1 to n.”. So what I’m doing in line 3 and 6 can be expressed using the shortcut:

Or as code:
| |
But you might be wondering why not just take the distributive property and write the solution as xn = (x**2 + x) // 2? If we disassemble these two implementation in Python, we can see the following:

Both implementations have roughly similar opcodes - but the difference is:
xn = (x * (x + 1)) // 2BINARY_ADD -> BINARY_MULTIPLY -> BINARY_FLOOR_DIVIDE
xn = (x**2 + x) // 2BINARY_POWER -> BINARY_ADD -> BINARY_FLOOR_DIVIDE
Where BINARY_POWER (pow()) is more expensive compared to BINARY_MULTIPLY so the first is preferred if we’re squeezing out every performance and simplicity from the code.
Now filling the remaining section for y range, the new solution becomes:
| |
Where the entire solution is a long chain of arithmetic with no function calls.
Benchmark

As (x, y) grows larger, we can see the previous solution (a()) slows down considerably whereas the new one (b()) is kept at a constant O(1)!